január 26

Edzésprogramozás kezdőtől haladóig

0  comments

Ahogyan évről évre egyre izmosabb és erősebb testben élsz a súlyzós edzésnek köszönhetően, úgy kell az edzésfilozófiádnak is fejlődnie és az edzésprogramodnak változnia azért, hogy ki tudja szolgálni a további céljaid elérését. Ennek oka egyszerű: a tested egy olyan gép, mely rendkívül jól képes alkalmazkodni az őt ért ingerekhez, azonban ha nem biztosítasz további, az eddigieknél nagyobb ingereket, akkor valójában csak szintentartásra lesz alkalmas az edzésprogram, amelyet eddig oly nagy sikerrel végeztél. Naturál sportolók esetén hosszútávon az izomtömeg csak úgy fog nőni, ha vele párhuzamosan az erőszint is növekedést mutat - erről már írtunk, és most nem is erről szeretnék beszélni, hanem arról, hogy a testedben milyen változások mennek végbe a súlyzós edzésnek köszönhetően és hogyan tudod újra és újra ‘becsapni’ őt, azaz növekedésre kényszeríteni. Fontos dologról van szó, hiszen hobbi (és profi) testépítők, lelkes gyúrósok és erőedzést végzők között az egyik legnagyobb problémát pont ez jelenti: nem képesek szakítani a kezdőként jól bevált edzésmódszerekkel és edzéstervezési filozófiával, ezért örökké a stagnálás útján fognak ragadni. Lássuk tehát, mely területeken kell alkalmazkodnia az edzésprogramodnak a fejlettségi szintedhez!

Hogyan állapítsd meg a fejlettségi szinted?

Amikor fejlettségi szintről beszélünk, nagyon fontos, hogy tisztázzuk ez pontosan mit jelent. A PowerBuilder Training System E-bookban is olvashattad, hogy nem kizárólag az edzéssel eltöltött évek száma határozza meg ezt, hiszen - hogy a könyvben írt hasonlattal éljek - egy gerelyhajító attól még nem haladó szintű, ha 5 éve a kert végében gyakorol, de a hiányos tudásának köszönhetően még mindig a gerely rossz végét fogja. Azonban azt is butaság lenne kijelenteni, hogy az edzésben eltöltött évek száma nem jelent semmit - hiszen még ha az edzésprogramod nem is igazán volt optimális, rosszul nyomtál fekve vagy neadjisten kizárólag gépeken edzettél, akkor is stresszt okoztál a testednek, amelyre ő adaptációval reagált, tehát nem veheted magad egy kalap alá azzal, aki még soha nem csinált egy fekvőtámaszt sem. A fejlettségi szint megállapítása két úton történhet:

A naturál genetikai potenciálod kiszámítása

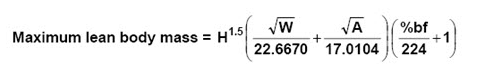
Természetesen képtelenség a matek nyelvén levezetni egy olyan bonyolult rendszer, mint az emberi test folyamatait, de léteznek módszerek, amelyek segítségével egy közelítőleg pontos képet kaphatunk arról, hogy naturál körülmények között mi az a felső határ, amelyet izomtömegben képesek lehetünk elérni. Ez bizony egy elég szomorú téma, de a genetikai csodák kivételével (sokukat a testépítő versenyek színpadán láthatod és onnan ismerheted fel őket, hogy már az első évükben izmosabbak lettek, mint Te valaha leszel) sajnos kijelenthető: ha 180 centi magas férfi vagy, akkor bizony szinte (99,9%) biztos, hogy sosem leszel 100 kilós 8% testzsírral. Ez természetesen nem azt jelenti, hogy ha elérted a 80 kilót, akkor ott fel kell adni, csupán azt, hogy számodra középtávon reálisabb cél lehet a 82 kiló elérése, mintsem az emlegetett 100 kiló. Jónéhány olyan módszer áll rendelkezésünkre, mely segítségével megbecsülhetjük a maximálisan elérhető izomtömegünket (ha érdekelnek ezek, olvasd el Greg Nuckols vonatkozó cikkét), de mind közül talán a Dr. Casey Butt által felállított modell a legpontosabb: ő egy csomó naturál (még a doppingmentes érában élő) testépítő adatainak vizsgálata után jutott arra a következtetésre, hogy nagyon erős kapcsolat van a magasság, a csukló és a boka körmérete, valamint a genetikai potenciál között. Dr. Casey Butt formulája így néz ki:
H: magasság, W: csukló kerülete, A: boka kerülete: BF%: testzsírszázalék
Ha nem feltétlenül akarsz fél napot tölteni a képlet kiszámításával, akkor töltsd le ezt a táblázatot (Németi Endre PowerBuilder pajtinknak ezúton is köszönjük :) ) , add meg a sárga mezőben kért adatokat és néhány másodperc alatt megtudhatod, hogy mekkora lehetsz.

A fejlődésed gyorsaságának megfigyelése

Nem árt, ha kiszámolod az előző képlettel azt, hogy hol tartasz a határaidhoz képest, de a második módszer legalább ennyire sokatmondó: figyeld meg azt, hogy egy alap (mondjuk 4x6-os, de lehet bármi ami a valóságtól nem annyira elrugaszkodott) edzésprogrammal képes vagy-e edzésről edzésre fejlődni. Kezdőnek addig számítasz, amíg erre legalább egy kis mértékben képes vagy, tehát az egyik edzésen 90-be nyomsz 6+6+6+6-ot, majd a következőn 90-be 7+6+6+6-ot, és így tovább felfelé. Amikor azt veszed észre, hogy ez már jónéhány edzés óta nem megy (és ez nem csak egy álmatlan éjszakának vagy kevés kajának köszönhető, hanem optimális körülmények között is így van), akkor kijelenthetjük: többé nem vagy kezdő.

Min kell változtatnod, ha már nem vagy kezdő?

1. Magasabb intenzitás

Amikor elkezdesz edzeni, akkor a tested rendkívül rossz hatékonysággal képes az adott mozgások során munkába vonni az izmaidat. Ennek fejlesztése gyakorlást igényel, minél többször ismétled az adott mozdulatot, annál jobb lesz tested annak végzésében, és annál több és több izomrost képes majd bekapcsolódni a munkába. Ez nekünk egyrészt jó, hiszen csak az az izomrost képes nőni, amely dolgozik, másrészt rossz, mert így nagyobb fáradtságot vagyunk képesek okozni magunknak egy-egy sorozat végzésével. A kezdők tehát nem tudnak különösebben profitálni a nagy súlyokból és azokhoz társítható alacsony ismétlésszámokból, hiszen testük még nem képes hatékonyan dolgozni ezekkel - ha 10-15 ismétlésekkel és kisebb súlyokkal dolgoznak, az hasonló eredményeket fog hozni mint a 4-6 ismétlés és a nagyobb súlyok. Emiatt lehet az, hogy a kutatások szerint (1) a kezdőknek a fejlődéshez akár 20%-os intenzitás (az 1 ismétléses maximum 20%-ával való munka, tehát egy olyan súly használata, amely 30-50 ismétlés teljesítését teszi lehetővé) is elegendő a fejlődéshez, de a haladóbbaknak már ez a határ 60-65%-ra tolódik. Sajnos jelenleg nem áll sok adat a rendelkezésünkre arról, hogy a valójában haladó erőatléták (akik már egy tekintélyes erőszintet és izomtömeget elértek és 5+ éve edzenek) számára ez a határ még feljebb tolódik-e, de a gyakorlati példákból következtetve könnyen elképzelhető, hogy igen - hiszen a régi idők erőművészei (akik egyben az akkori testépítők is voltak) és napjaink erősportolói is egyaránt azt tapasztalták beszámolóik alapján, hogy szükség van a nagy súlyokra a további fejlődéshez, és nagyjából általános a konszenzus arról, hogy 75-90% közötti intenzitás használatára van szükség ahhoz, hogy az erő és az izomtömeg is növekedni tudjon haladóként. [pullquote align="normal"]A lényeg: kezdőként még sokat profitálhattál a 10-15 ismétléses szériákból, de haladóként egyre közelítened kell a 3-6 ismétléses sorozatokhoz. [/pullquote]

2. Nagyobb volumen

A kevesebb néha több - hangzik a rendkívül bölcs mondás, azonban a súlyzós edzésre ez nem igaz (kivéve ha igazán túledzett állapotban vagy). Ahogyan egyre haladóbb leszel, úgy kell az erő- és izomnövekedéshez egyre nagyobb ingereket biztosítanod izmaid számára, és ezt azzal nem leszel képes elérni, hogy havonta 2.5kg-mal nagyobb súllyal tudsz fekvenyomni (ami kb. reális lehet haladóként). A fejlődéshez szükséges növekvő ingereket az edzésmennyiség, az edzésvolumen növelésével leszel képes fenntartani, ez az a változó, amelynek ciklusról ciklusra, évről évre egyre magasabbnak kell lennie. Az edzésvolumen meghatározásának többféle módja létezik, ebből kettőt emelnék ki: a megmozgatott kilógrammok számát (angolul tonnage, 5x5@100 = 2500kg) és a relatíve nehéz (bukást legalább 3-4 ismétlésre megközelítő) munkasorozatok számát. Az előbbit elsősorban az erőnövekedést célzó, az utóbbit az izomnövekedést célzó edzésprogramozásban használhatjuk sikerrel, ahogyan azt korunk legsikeresebb és legelismertebb erőemelő (Sheiko, Wolf, Tuchscherer, C.W.Smith) és testépítő (Norton, Helms, Henselmans, Schoenfeld) edzői is teszik. Tehát ha egy éve jól fejlődtél azzal, hogy heti kétszer 4 (összesen 8 ) széria horizontális nyomást végeztél (mondjuk 4 széria fekvenyomás + 4 széria tolódzkodás), akkor jó eséllyel mára már összesen 10-12 szériára lesz szükséged a fejlődés fenntartásához. [pullquote align="normal"]A lényeg: a fejlődéssel párhuzamosan egyre nagyobb mennyiségű munkát kell végezned az edzőteremben, hiszen csak így tudsz további fejlődést elérni![/pullquote]

3. A fáradtság okosabb menedzselése

Az első pontban érintettük már ezt a kérdést: minél hatékonyabban képes a tested munkába vonni a súly mozgatásához szükséges izmokat, annál nagyobb idegrendszeri fáradtságot leszel képes felhalmozni az edzéseid során. Viszont az előző pontban leszögeztük, hogy a volumennek szép lassan nőnie kell - most akkor ez hogy is van? A válasz a fáradtság menedzselése és a regenerációs rutinod fejlesztése lesz, egyszerűen mondva: ahhoz, hogy többet tudj edzeni, többet - és jobban - is kell pihenned. A kezdő időszakban még elvergődhetsz azzal, ha az edzés mellett nem táplálkozol jól, nem alszol eleget és stresszes életet élsz, de a haladó státusszal járó nagyobb terhelések már ezt kíméletlenül megbüntetik. A táplálkozás kérdését most itt nem feszegetném, mert ez a cikk nem erről szól, de ha nem viszed be az izmaid újjáépítéséhez szükséges mennyiségű fehérjét, az optimális hormonháztartás kialakításához szükséges zsírokat és az elegendő össz. kalóriát biztosító szénhidrátokat, akkor sokkal lassabban fogsz regenerálódni egy-egy edzésből, és ezzel hamarabb halmozhatod fel a fáradtságot. Az alvással, pihenéssel kapcsolatban mindenki tudja, hogy mennyire fontos, mégsem szentelünk rá elegendő figyelmet. Az alvás mennyiségén (napi 7-8 óra) kívül a minősége is nagyon fontos, tehát ha teheted, a lefekvés és felkelés minden nap közel azonos időben történjen, a lefekvés előtti 6-8 órában kerüld a koffein fogyasztását, aludj sötét, csendes és hűvös szobában, valamint a lefekvés előtti 1-2 órában minimalizáld a fényforrások használatát - mindezek segítségével sokkal pihentetőbb lehet az alvásod. A stressz menedzselése talán a legnehezebb feladatunk: ebbe szintén nem mennék most bele, de a rendszeres meditáció, illetve az egészséges mértékű ‘belesz@rok’ hozzáállás nagyon sokat tud ezen segíteni ? A terheléselvétel alkalmazása is a kezdő szint után lesz fontos nekünk: ekkor már akármennyire is figyelünk a pihenésre és a jó kajára, valamint az edzésmennyiség okos meghatározására, előbb-utóbb könnyen felhalmozódhat a fáradtság és a rettegett túledzés áldozatai lehetünk. Ezért 6-12 hetente iktass be egy laza hetet, amikor a megszokott súlyok és mennyiség 60-70%-ával (pl. 3x5 @ 120 helyett 2x5 @ 90) dolgozol. [pullquote align="normal"]A lényeg: a megfelelő mennyiségű és minőségű alvás, a céljainkat kiszolgáló táplálkozás és a stressz menedzselése mind-mind annál fontosabb, minél magasabb szinten vagyunk. [/pullquote]

4. Gyakoribb edzések

Talán mind közül a legfontosabb tényező az edzésgyakoriság növelése lesz. A teljes test és osztott edzésprogramokat összehasonlító cikkünkben erről részletesen írtunk, ezért itt csak rövidebben álljon: a kutatások szerint (2, 3kezdőként 3-4 napos izomnövekedési periódus követ egy-egy edzést, haladóként viszont ez 1-2 napra csökken. Ízlelgessük ezt egy kicsit: ha keményen megedzel egy izomcsoportot (a fentebb linkelt kísérletben 12 szériát végeztek bicepszre, mindet bukásig (!) ) , akkor kezdőként 3-4 napon át fognak zajlani az izomépítő folyamatok, haladóként viszont 1-2 nap után már maximálisan regenerálódott az izom, és újra terhelhető. Mit jelent ez nekünk? Ha a gyúrós termekben mindenki által végzett osztott edzésterveket (pl. 1. nap: mell-kar, 2. nap: hát-váll, 3. nap: láb) vizsgáljuk, akkor láthatjuk, hogy ennek használata kezdőként izomnövekedésileg annyira nem is nagy baklövés, viszont haladóként már nem tűnik annyira jó ötletnek. Tehát a jelenlegi tudásunk szerint középhaladóként jó, ha az egyes izomcsoportok 2-4 naponta történő megedzését célozzuk meg, haladóként viszont akár szükség lehet a kétnaponkénti gyakoriságra is (ezt sugallhatja az is, hogy a legeredményesebb olyan rutinok, melyek egy adott izomcsoport célzott fejlesztésére irányulnak, mind-mind az adott izomcsoport legalább heti 3, de inkább 4-5-szöri edzését írják elő). Ennek a leginkább kézenfekvő módja az, ha az edzéseink számát megnöveljük, tehát lassan heti 3 helyett 4-6 edzést végzünk hetente, természetesen a fáradtságot okosan menedzselve. [pullquote align="normal"]A lényeg: kezdőként még jó megoldást jelenthet az, ha heti 1-2-szer edzel meg egy izomcsoportot, de haladóként már 2-3 napi gyakoriságra kell váltanod![/pullquote] [thrive_custom_box title="Egy példa a való életből" style="dark" type="color" color="#eae9c0" border="#6d6d6d"]A magas gyakoriság felsőbbrendűségét mutatja az a norvég erőemelőkön végzett 2012-es kísérlet (sajnos ezt tudományos folyóiratban nem publikálták, de a linkre kattintva találhatsz róla bővebb infót) is, melyben 16 erőemelő versenyzőt két csoportra osztottak: az egyik csoport heti háromszor, a másik heti hatszor edzett. Az edzésprogram minden más tényezője megegyezett: a használt súlyok, a heti össz. volumen és alkalmazott gyakorlatok köre ugyanaz volt mindkét csoport esetében. Az eredmények egyértelműen a hat edzéses csoport diadalát hozták: 15 hét után 11%-kal voltak képesek az 1RM guggolásukon növelni (a három edzéses csoport 5%-ával szemben) és a kvadricepszük mérete 5%-kal nőtt (a három edzéses csoportnál nem volt szignifikáns változás ebben).[/thrive_custom_box] Alkalmazd a fentieket a következő edzésprogramod tervezésekor és ne feledd: ha az izomzatod és erőszinted már nem kezdő, akkor az edzésprogramod sem lehet az!

Wittmann Zsolt

A Cikk Szerzőjéről

Wittmann Zsolt vagyok, erőemelő edző, a PowerBuilder.hu alapítója. Szeretek nagy súlyokat emelni és kinyomni, valamint azt kutatni, hogyan lehetünk ezek segítségével egyre izmosabbak és erősebbek.


Tags


Olvasgass tovább:

PERIODIZÁLNI VAGY NEM PERIODIZÁLNI?

– Erőt tényleg csak alacsony ismétlésszámmal és nagy súllyal, míg izmot csak magas ismétlésszámmal és kis súllyal építhetsz?
– Egyáltalán számít-e az ismétlésszám és neked vajon mi lesz a legoptimálisabb?
Új cikkünk extra SEGÍTSÉG ERŐ- ÉS IZOMÉPÍTÉSHEZ!

Read More

AZ ERŐ, AZ IZOM ÉS AZ ISMÉTLÉSSZÁMOK

– Erőt tényleg csak alacsony ismétlésszámmal és nagy súllyal, míg izmot csak magas ismétlésszámmal és kis súllyal építhetsz?
– Egyáltalán számít-e az ismétlésszám és neked vajon mi lesz a legoptimálisabb?
Új cikkünk extra SEGÍTSÉG ERŐ- ÉS IZOMÉPÍTÉSHEZ!

Read More